資訊類 04:資訊運算思維
姓名:
座號:
得分
1.
()
下列流程圖所對應的 C/C++ 指令為何?
① do...while
② while
③ switch...case
④ if...then...else

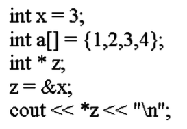
2.
()
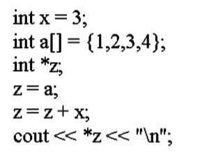
下列流程圖所對應的 C/C++ 指令為何?
① do...while
② while
③ switch...case
④ if...then...else

3.
()
下列流程圖所對應的 C/C++ 指令為何?
① do...while
② while
③ switch...case
④ if...then...else

4.
()
下列流程圖所對應的 C/C++ 程式為何?
①
②
③
④
②
③
④

5.
()
下列 C/C++ 程式片段之敘述,何者正確?
① 輸入三個變數
② 找出輸入數值最小值
③ 找出輸入數值最大值
④ 輸出結果為 the output is: c

6.
()
下列何者「不是」 C/C++ 語言基本資料型態?
① void
② int
③ main
④ char
7.
()
下列何者在 C/C++ 語言中視為 false?
① -100
② -1
③ 0
④ 1
8.
()
有關 C/C++ 語言中變數及常數之敘述,下列何者「不正確」?
① 變數用來存放資料,可以是整數、浮點、字串的資料型態
② 程式中可以操作、改變變數的值
③ 常數存放固定數值,可以是整數、浮點、字串的資料型態
④ 程式中可以操作、改變常數值
9.
()
下列 C/C++ 程式片段,何者敘述正確?
① 小括號應該改成大括號
② sum = sum + 30; 必須使用大括號括起來
③ While 應該改成 while
④ While (sum <= 1000) 之後應該要有分號

10.
()
有關 C/C++ 語言結構控制語法,下列何者正確?
① while (x > 0) do { y = 5; }
② for (x < 10) { y = 5; }
③ while (x > 0 || x < 5) { y = 5; }
④ do (x > 0) { y = 5 } while (x < 1)
11.
()
C/C++ 語言指令 switch 的流程控制變數「不可以」使用何種資料型態?
① char
② int
③ byte
④ double
12.
()
C/C++ 語言中限定一個主體區塊,使用下列何種符號?
① ( )
② /* */
③ " "
④ { }
13.
()
下列 C/C++ 程式片段,輸出結果何者正確?
① 1
② 2
③ 3
④ 4

14.
()
下列 C/C++ 程式片段,輸出結果何者正確?
① 1
② 2
③ 3
④ 4

15.
()
下列 C/C++ 程式片段,若 x = 2,則 y 值為何?
① 2
② 3
③ 7
④ 9

16.
()
下列 C/C++ 程式片段,其 x 之輸出結果何者正確?
① 2
② 3
③ 4
④ 5

17.
()
下列 C/C++ 程式片段,執行後 x 值為何?
① 0
② 1
③ 2
④ 3

18.
()
下列 C/C++ 程式片段,f(8,3) 輸出為何?
① 3
② 5
③ 8
④ 11

19.
()
對於下列 C/C++ 程式,何者敘述正確?
① 將 a 及 b 兩矩陣相加後,儲存至 c 矩陣
② 若 a[2][2]={{1,2},{3,4}} 及 b[2][2]={{1,0},{2,-3}},執行結束後 c[2][2]={{5,6},{11,12}}
③ 若 a 及 b 均為 2x2 矩陣,最內層 for 迴圈執行 8 次
④ 若 a 及 b 均為 2x2 矩陣,最外層 for 迴圈執行 4 次

20.
()
對於下列 C/C++ 程式片段,何者敘述有誤?
① 程式輸出為 4x + -4y + 8 = 0
② 若 (x1,x2) 及 (y1,y2) 視為兩個二維平面座標,程式功能為計算直線方程式
③ 若 (x1,x2) 及 (y1,y2) 視為兩個二維平面座標,則直線方程式的斜率為 -4/3
④ 若 (x1,x2)、(y1,y2) 及 (3,5) 視為三個二維平面座標,則會構成一個直角三角形
